Sebutkan Koloid Yang Mencemari Lingkungan Dan Bagaimana Cara Mengatasinya

Mencari informasi terkait Sebutkan Koloid Yang Mencemari Lingkungan Dan Bagaimana Cara Mengatasinya.

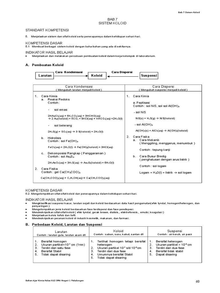
Bab 7 Koloid

Pengaruh Model Pembelajaran Problem Based Learning Pbl

6 Penyebab Pencemaran Tanah Dampak Akibat Cara Mengatasi

Pengaruh Model Pembelajaran Problem Based Learning Pbl

Pengaruh Model Pembelajaran Problem Based Learning Pbl

Diajukan Sebagai Salah Satu Syarat Untuk Memperoleh Gelar

Doc Modul Ipa Xi Limbah Mayanti Panjaitan Academiaedu

Pengaruh Model Pembelajaran Problem Based Learning Pbl

Itulah yang dapat admin sampaikan terkait sebutkan koloid yang mencemari lingkungan dan bagaimana cara mengatasinya. Admin blog Pintar Mengatasi 2019 juga mengumpulkan gambar-gambar lainnya terkait sebutkan koloid yang mencemari lingkungan dan bagaimana cara mengatasinya dibawah ini.

Pengaruh Model Pembelajaran Problem Based Learning Pbl

Koloid

Mengatasinya Jendela Geografi Macam Macam Pencemaran Dan Cara

Pengaruh Pembelajaran Berbasis Proyek Dengan Produk Ice Tra

Koloid

Peran Manusia Dalam Pengelolaan Lingkungan Annauzumas Blog

Pengaruh Model Pembelajaran Problem Based Learning Pbl

C Kimia Trkoloid Partikel Nano Dan Fotokimia

Bagaimanakah Menanggulangi Limbah Minyak Secara Alami

Pencemaran Lingkungan Materi Ipa Kelas 7 Smp Mts Pintu

Itulah gambar-gambar yang dapat kami kumpulkan mengenai sebutkan koloid yang mencemari lingkungan dan bagaimana cara mengatasinya. Terima kasih telah mengunjungi blog Pintar Mengatasi 2019.


Comments

Popular posts from this blog

Cara Mengatasi Hotspot Hp Tidak Bisa Connect Ke Laptop

Cara Mengatasi Gambar Tidak Muncul Di Shopee

Cara Mengatasi Laptop Axioo Yang Tidak Mau Menyala

Cara Mengatasi Pengalihan Panggilan Bersyarat Aktif

Cara Mengatasi Lampu Internet Tidak Menyala Indihome